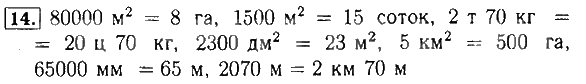
Решения домашних заданий по математике 4 класс Козлова 14 упражнение
|
| Дисциплина: Математика |
| Класс: 4 класс |
| Автор: Козлова |
|
Перейти к упражнению
- 1 2 3 4 5 6 7 8 9 10 111 2 3 4 5 6 7 8 9 10 111 2 3 4 5 6 7 8 9 10 11 121 2 3 4 5 6 7 8 9 10 11 12 13 141 2 3 4 5 6 7 8 9 101 2 3 4 5