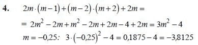
Решения домашних заданий по алгебре 7 класс Алимов Ш.А. 4 упражнение
|
| Дисциплина: Алгебра |
| Класс: 7 класс |
| Автор: Алимов Ш.А. Год издания: 2002-2009 |
|
ВЫБЕРИТЕ ПРОФЕССИОНАЛЬНУЮ ПОМОЩЬ!
|
| Дисциплина: Алгебра |
| Класс: 7 класс |
| Автор: Алимов Ш.А. Год издания: 2002-2009 |
|