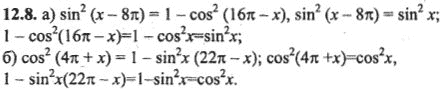
Решения домашних заданий по алгебре 10, 11 класс Мордкович А.Г., Тульчинская Е.Е. 12.8 упражнение Алгебра и начала математического анализа. В двух частях. Ч 2. Задачник
Решебник: Алгебра и начала математического анализа. В двух частях. Ч 2. Задачник |
| Дисциплина: Алгебра |
| Класс: 10, 11 класс |
| Автор: Мордкович А.Г., Тульчинская Е.Е. Год издания: 2011 |
|
Перейти к упражнению
-
1.1 1.2 1.3 1.4 1.5 1.6 1.7 1.8 1.9 1.10 1.11 1.12 1.14 1.16 1.17 1.18 1.19 2.1 2.2 2.3 2.4 2.5 2.6 2.7 2.8 2.9 2.10 2.11 2.12 2.13 2.14 2.15 3.1 3.2 3.3 3.4 4.1 4.2 4.3 4.5 4.6 4.7 4.8 4.9 4.10 4.11 4.12 4.13 4.14 4.16 4.17 4.18 4.19 5.4 5.5 5.6 5.7 5.8 5.9 5.11 5.12 5.13 5.14 5.1-5.3 6.1 6.2 6.3 6.4 6.5 6.6 6.7 6.8 6.9 6.10 6.11 6.12 6.13 6.14 6.15 6.16 6.17 6.18 6.19 6.20 6.22 6.23 6.24 6.25 6.26 6.27 6.28 6.29 6.30 6.31 6.33 6.36 6.39 6.40 7.1 7.2 7.3 7.4 7.5 7.6 7.7 7.8 7.9 7.10 7.11 7.12 7.13 7.14 7.15 7.16 7.17 7.18 8.5 8.6 8.7 8.8 8.9 8.10 8.11 8.12 8.13 8.14 8.15 8.16 8.1-8.4 9.1 9.2 9.3 9.4 9.5 9.6 9.7 9.8 9.9 9.10 9.11 9.12 9.13 9.14 10.1 10.2 10.3 10.4 10.5 10.6 10.7 10.8 10.9 10.10 10.11 10.14 10.16 10.17 10.18 11.3 11.5 11.11 11.12 12.1 12.2 12.3 12.4 12.5 12.6 12.7 12.8 12.9 13.1 13.2 13.3 13.4 13.5 13.6 13.7 13.8 13.10 13.11 13.12 13.13 13.14 13.15 13.16 13.17 13.18 13.19 14.1 14.2 14.3 14.4 14.5 14.6 14.7 14.8 14.9 14.10 14.11 14.12 15.1 15.2 15.3 15.4 15.5 15.6 15.7 15.8 15.9 15.10 15.11 15.12 15.13 15.14 15.15 15.17 16.1 16.2 16.3 16.4 16.5 16.6 16.7 16.8 16.9 16.10 16.11 16.12 16.13 16.14 16.15 17.1 17.2 17.3 17.4 17.5 17.6 17.7 17.8 17.9 17.10 18.1 18.2 18.3 18.4 18.5 18.6 18.7 18.8 18.9 18.10 18.11 18.12 18.13 18.14 18.15 18.18 18.19 18.20 18.21 18.22 18.24 18.25 18.26 18.27 18.28 18.29 18.30 18.31 18.32 19.1 19.2 19.3 19.4 19.5 19.6 19.7 19.8 19.9 19.10 19.11 19.12 19.13 19.14 19.15 19.16 19.17 19.18 19.21 19.22 19.23 19.24 19.25 20.1 20.2 20.3 20.4 20.5 20.6 20.7 20.8 20.9 20.10 20.11 20.13 20.14 21.6 21.7 21.8 21.9 21.10 21.11 21.12 21.13 21.14 21.15 21.16 21.17 21.18 21.19 21.20 21.21 21.22 21.23 21.24 21.25 21.26 21.27 21.28 21.29 21.30 21.31 21.32 21.33 21.34 21.35 22.1 22.2 22.3 22.4 22.5 22.6 22.7 22.8 22.9 22.10 22.11 22.12 22.13 22.14 22.15 22.16 22.17 22.18 22.19 22.20 23.1 23.2 23.3 23.4 23.5 23.6 23.10 23.11 23.12 24.1 24.2 24.3 24.4 24.5 24.6 24.7 24.8 24.9 24.10 24.11 24.12 24.13 24.14 24.16 24.17 24.18 24.19 24.20 24.21 24.22 25.1 25.2 25.3 25.4 25.5 25.6 25.7 25.8 25.9 25.10 25.11 25.12 25.13 25.14 25.15 26.1 26.2 26.3 26.4 26.5 26.6 26.7 26.8 26.9 26.10 26.11 26.12 26.13 26.14 26.15 26.16 26.17 26.18 26.19 26.20 26.21 26.22 26.23 26.24 26.25 27.1 27.2 27.3 27.4 27.5 27.6 27.7 27.8 27.9 27.10 27.11 27.12 27.13 27.14 28.1 28.2 28.3 28.4 28.5 28.6 28.7 28.8 28.9 28.10 28.11 28.12 28.13 28.14 28.15 28.16 28.17 28.18 28.19 28.20 28.21 28.22 28.23 28.24 28.25 28.26 28.27 28.28 28.29 28.30 28.31 28.32 28.33 28.34 28.35 28.36 28.37 28.38 28.39 28.40 28.41 28.42 28.43 28.44 28.45 29.1 29.2 29.3 29.4 29.5 29.6 29.7 29.8 29.9 29.10 29.11 29.12 29.13 29.14 29.15 29.16 29.17 29.18 29.19 29.20 29.21 29.22 29.23 29.24 30.1 30.2 30.3 30.7 30.8 30.9 30.10 30.11 30.12 30.13 30.14 30.15 30.16 30.22 30.23 30.24 30.25 30.26 30.27 30.28 30.29 30.30 30.31 30.32 30.4-30.6 30.17-30.21 31.1 31.2 31.3 31.4 31.5 31.6 31.7 31.8 31.9 31.10 32.1 32.2 32.3 32.4 32.5 32.6 32.7 32.8 32.9 32.10 32.11 32.12 32.13 32.14 32.15 32.20 32.21 32.22 32.23 32.24 32.25 32.26 32.27 32.28 32.32 32.33 32.34 32.35