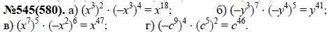
Решения домашних заданий по алгебре 7 класс Макарычев Ю.Н., Миндюк Н.Г., Нешков К.И., Суворова С.Б. 545(580) упражнение
|
| Дисциплина: Алгебра |
| Класс: 7 класс |
| Автор: Макарычев Ю.Н., Миндюк Н.Г., Нешков К.И., Суворова С.Б. Год издания: 2003-2005-2009 |
|
Перейти к упражнению
-
1(1) 2(2) 3(3) 4(4) 5(n) 6(c) 6(5) 7(c) 7(n) 8(c) 8(n) 9(c) 9(n) 10(18) 11(10) 12(11) 13(n) 14(n) 15(12) 16(c) 16(13) 17(c) 17(14) 18(15) 19(c) 19(21) 20(c) 20(22) 21(23) 22(25) 23(26) 24(c) 24(27) 25(28) 26(29) 27(n) 28(30) 29(32) 30(33) 31(c) 31(34) 32(35) 33(n) 34(n) 35(36) 36(37) 37(38) 39(39) 39(40) 40(n) 41(n) 41(41) 42(42) 43(43) 44(44) 45(45) 46(46) 47(47) 48(c) 48(n) 49(c) 49(n) 50(50) 51(51) 52 53(53) 54(54) 55(55) 56(56) 57(57) 58(58) 59(59) 60(60) 61(61) 62(62) 63(63) 64(64) 65(65) 66(66) 67(67) 68(68) 69(69) 70(70) 71(71) 72(72) 73(73) 74(74) 75(75) 76(76) 77(77) 78(78) 79(79) 80(80) 81(81) 82(82) 83(83) 84(84) 85(85) 86(c) 86(87) 87(88) 88(89) 89(93) 90(c) 90(98) 91(c) 91(99) 92(c) 92(100) 93(101) 94(c) 94(102) 95(c) 95(103) 96(c) 96(104) 97(c) 97(105) 98(106) 99(107) 100(110) 101(111) 102(112) 103(113) 104(114) 105(115) 106(116) 107(n) 108(c) 108(118) 109(c) 109(119) 110(120) 111(122) 112(123) 113(124) 114(125) 115(126) 116(127) 117(c) 117(128) 118(n) 119(129) 120(130) 121(n) 121(c) 122(132) 123(133) 124(134) 125(135) 126(136) 127(137) 128(138) 129(139) 130(140) 131(c) 131(141) 132(142) 133(143) 134(144) 135(145) 136(146) 137(147) 138(148) 139(153) 140(154) 141(155) 142(156) 143(n) 144(n) 145(158) 146(n) 147(n) 148(159) 149(n) 149(c) 150(n) 150(c) 151(c) 151(161) 152(c) 152(162) 153(163) 154(164) 155(165) 156(166) 157(n) 157(c) 158(n) 159(169) 160(c) 160(170) 161(171) 162(173) 163(174) 164(175) 165(177) 166(178) 167(c) 167(n) 168(n) 168(c) 169(n) 170(n) 171(n) 172(c) 173(n) 174(n) 175(n) 176(c) 176(n) 177(n) 178(n) 179(n) 179(c) 180(n) 180(c) 181(n) 181(c) 182(n) 182(c) 183(c) 184(n) 185(n) 186(n) 187(n) 188(n) 189(n) 189(c) 190(n) 190(c) 191(n) 192(n) 193(n) 194(n) 195(n) 196(n) 197(n) 198(c) 198(n) 199(c) 199(n) 200(n) 200(c) 201(c) 201(n) 202(n) 202(c) 203(c) 203(n) 204(c) 204(n) 205(n) 206(184) 207(185) 208(186) 209(187) 210(c) 210(188) 211(c) 211(191) 212(192) 213(193) 214(c) 214(194) 215(195) 216(c) 216(196) 217(197) 218(205) 219(c) 219(206) 220(207) 221(c) 221(208) 222(209) 223(c) 223(212) 224(c) 224(213) 225(215) 226(217) 227(c) 227(218) 228(220) 229(c) 229(222) 230(225) 231(226) 232(228) 233(230) 234(231) 235(c) 235(232) 236(233) 238(236) 239(237) 240(238) 241(239) 242(240) 243(241) 244(242) 245(243) 246(c) 246(244) 247(245) 248(247) 249(248) 250(249) 251(250) 252(251) 253(n) 254(n) 255(n) 256(n) 257(n) 258(252) 259(253) 260(254) 261(255) 262(256) 263(257) 264(258) 265(259) 266(260) 267(261) 268(262) 269(263) 270(264) 271(265) 272(266) 273(267) 274(268) 275(269) 276(270) 277(271) 278(c) 278(272) 279(c) 279(273) 280(274) 281(275) 282(c) 282(276) 283(277) 284(c) 284(287) 285(c) 285(280) 286(281) 287(283) 288(c) 288(n) 289(c) 289(n) 290(c) 290(n) 291(n) 292(291) 293(292) 294(293) 295(294) 296(295) 297(317) 298(c) 298(319) 299(320) 300(321) 301(322) 302(323) 303(328) 304(n) 304(c) 305(c) 305(330) 306(331) 307(325) 308(326) 309(327) 310(332) 311(333) 312(334) 313(296) 314(297) 315(n) 316(299) 317(300) 318(c) 318(301) 319(302) 320(303) 321(306) 322(n) 322(308) 323(309) 324(c) 324(310) 325(311) 326(312) 327(n) 328(n) 329(c) 330(n) 331(n) 333(n) 333(307) 334(n) 335(c) 336(c) 337(c) 337(315) 338(c) 338(316) 339(n) 339(c) 340(c) 340(n) 341(n) 341(c) 342(n) 342(c) 343(c) 343(n) 344(c) 344(n) 345(c) 345(n) 346(n) 346(c) 347(n) 347(c) 348(c) 348(351) 349(353) 350(c) 350(354) 351(358) 352(c) 352(359) 353(360) 354(362) 355(c) 355(364) 356(c) 356(363) 357(c) 357(372) 358(376) 359(365) 360(366) 361(c) 361(367) 362(368) 363(369) 364(374) 365(375) 366(377) 367(378) 367(379) 369(380) 370(c) 370(381) 371(c) 371(382) 372(383) 373 373(384) 374(385) 375(386) 376(387) 377(388) 378(389) 379(380) 380(391) 381(392) 382(393) 383(394) 384(395) 385(396) 386(397) 387(398) 388(399) 389(n) 390(n) 391(401) 392(402) 393(403) 394(404) 395(405) 396(406) 397(407) 398(408) 399(409) 400(c) 400(410) 401(411) 402(412) 403(413) 404(414) 405(415) 406(416) 407(417) 408(418) 409(419) 410(420) 411(421) 412(422) 413(423) 414(424) 415(425) 416(426) 417(427) 418(428) 419(429) 420(430) 421(431) 422(432) 423(433) 424(434) 425(435) 426(436) 427(437) 428(438) 429(439) 430(440) 431(441) 432(442) 433(443) 434(n) 435(n) 436(444) 437(445) 438(446) 439(447) 440(448) 441(449) 442(450) 443(451) 444(452) 445(453) 446(454) 447(455) 448(456) 449(457) 450(458) 451(459) 452(460) 453(461) 454(462) 455(463) 456(464) 458(465) 458(466) 459(467) 460(468) 461(471) 462(472) 463(473) 464(474) 465(475) 466(476) 467(477) 468(478) 469(c) 469(479) 470(c) 470(481) 471(482) 472(483) 473(484) 474(485) 475(486) 476(487) 477(488) 478(489) 479(490) 480(c) 480(491) 481(494) 482(496) 483(498) 484(500) 486(502) 487(n) 488(505) 489(506) 490(510) 491(511) 492(c) 492(n) 493(n) 493(c) 494(n) 495(n) 495(c) 496(n) 497(c) 497(514) 498(501) 498(515) 499(c) 499(518) 500(n) 501(n) 502(n) 503(c) 503(n) 504(n) 504(c) 505(n) 506(n) 507(c) 507(n) 508(c) 508(n) 509(c) 509(n) 510(n) 511(546) 512(c) 512(547) 513(c) 513(548) 514(549) 515(550) 516(c) 516(551) 517(c) 517(552) 518(553) 519(c) 519(554) 520(c) 520(555) 521(c) 521(556) 522(c) 522(557) 523(c) 523(558) 524(c) 524(559) 525(c) 525(560) 526(561) 527(c) 527(562) 528(c) 528(563) 529(c) 529(564) 530(c) 530(565) 531(c) 531(566) 532(c) 532(567) 533(c) 533(568) 534(c) 534(569) 535(c) 535(570) 536(c) 536(571) 537(c) 537(572) 538(c) 538(573) 539(c) 539(574) 540(c) 540(575) 541(c) 541(576) 542(c) 542(577) 543(c) 543(578) 544(c) 544(579) 545(c) 545(580) 546(581) 547(582) 548(583) 549(584) 550(585) 551(586) 552(587) 553(590) 554(591) 555(592) 556(594) 557(595) 558(596) 559(597) 560(600) 561(601) 562(602) 563(603) 564(604) 565(605) 566(n) 567(616) 568(617) 570(619) 571(620) 572(621) 573(622) 574(623) 575(624) 576(625) 577(626) 578(627) 579(628) 580(629) 581(630) 582(631) 583(632) 584(633) 585(635) 586(636) 587(637) 588(c) 588(638) 589(c) 589(639) 590(640) 591(n) 592(641) 593(c) 593(642) 594(643) 595(644) 596(645) 597(646) 598(c) 598(647) 599(c) 599(648) 600(649) 601(650) 602(651) 603(652) 604(653) 605(654) 606(c) 606(655) 607(c) 607(656) 608(c) 608(657) 609(n) 609(c) 610(c) 610(658) 611(c) 611(660) 612(c) 612(661) 613(c) 613(n) 614(c) 614(663) 615(c) 615(664) 616(665) 617(666) 618(c) 618(667) 619(668) 620(669) 621(670) 622(671) 623(672) 624(673) 625(674) 626(675) 627(676) 628(677) 629(678) 630(679) 631(680) 632(681) 633(682) 634(c) 634(683) 635(684) 636(685) 637(686) 638(687) 639(689) 640(n) 641(n) 642(691) 643(693) 644(694) 645(695) 646(696) 647(697) 648(n) 649(n) 650(698) 651(699) 652(n) 653(701) 654(702) 655(703) 656(704) 657(705) 658(706) 659(c) 659(707) 660(708) 661(709) 662(c) 662(710) 663(711) 664(712) 665(713) 666(714) 667(715) 668(716) 669(717) 670(718) 671(719) 672(720) 673(721) 674(722) 675(723) 676(724) 677(725) 678(726) 679(727) 680(729) 681(730) 682(731) 683(732) 684(733) 685(735) 686(736) 687(737) 688(n) 689(n) 690(c) 690(740) 691(n) 692(n) 692(c) 693(741) 694(742) 695(743) 696(n) 697(744) 698(745) 699(746) 700 700(747) 701(748) 702(749) 703(750) 704(751) 705(752) 706(753) 707(754) 708(755) 709(756) 710(757) 711(758) 712(759) 713(761) 714(762) 715(n) 716(764) 717(765) 719(767) 720(769) 722(n) 723(n) 724(n) 725(n) 726(n) 727(n) 728(c) 728(n) 729(n) 730(n) 731(n) 732(n) 733(n) 734(c) 734(789) 735(790) 736(794) 737(795) 738(c) 738(796) 739(c) 739(797) 740(798) 741(799) 742(800) 743(801) 744(802) 745(803) 746(804) 747(805) 748(806) 749(807) 750(808) 751(809) 752(810) 753(811) 754(812) 755(n) 756(814) 757(815) 758(816) 759(817) 760(c) 760(818) 761(819) 762(820) 763(c) 763(821) 764(822) 765(823) 766(n) 767(824) 768(c) 768(825) 769(826) 770(c) 770(827) 771(c) 771(828) 772(c) 772(829) 773(c) 773(830) 774(c) 774(831) 775(c) 775(n) 776(c) 776(833) 777(c) 777(837) 778(c) 778(838) 779(c) 779(839) 780(c) 780(840) 781(c) 781(841) 782(c) 782(842) 783(c) 783(843) 784(c) 784(844) 785(c) 785(845) 786(c) 786(846) 787(c) 787(847) 788(c) 788(848) 789(849) 790(850) 791(c) 791(851) 792(c) 792(852) 793(c) 793(853) 794(n) 795(n) 796(n) 797(856) 798(857) 799(859) 800(860) 801(861) 802(n) 803(862) 804(863) 805(864) 806(865) 807(866) 808(867) 809(868) 810(869) 811(871) 812(872) 813(c) 813(873) 814(874) 815(875) 816(876) 817(877) 818(878) 819(879) 820(880) 821(881) 822(882) 823(883) 824(884) 825(n) 826(887) 827(n) 828(n) 829(n) 830(889) 831(890) 832(c) 832(892) 833(893) 834(c) 834(894) 835(c) 835(895) 836(c) 836(896) 837(897) 838(898) 839(899) 840(400) 841(901) 842(902) 843(903) 844(904) 845(905) 846(n) 847(n) 848(n) 849(907) 850(908) 851(909) 852(910) 853(n) 854(c) 854(912) 855(c) 855(913) 856(914) 857(915) 858(916) 859(917) 860(918) 861(919) 862(920) 863(921) 864(922) 865(n) 866(n) 867(923) 868(924) 869(925) 870(c) 870(926) 871(927) 872(928) 873(929) 874(930) 875(931) 876(932) 877(933) 878(934) 879(935) 880(936) 881(937) 882(938) 883(939) 884(940) 885(c) 885(941) 886(c) 886(942) 887(943) 888(c) 888(944) 889(945) 890(946) 891(c) 891(947) 892(948) 893(949) 894(950) 895(951) 896(952) 897(953) 898(954) 899(955) 900(956) 901(957) 902(958) 903(n) 904(960) 905(961) 906(c) 906(962) 907(963) 908(964) 909(965) 910(966) 911(c) 911(967) 912(968) 913(969) 914(970) 915(971) 916(972) 917(973) 918(974) 919(975) 920(978) 921(979) 922(n) 923(n) 924(n) 925(n) 926(n) 927(983) 928(984) 929(985) 930(n) 931(987) 932(988) 933(989) 934(990) 935(991) 936(992) 937(993) 938(994) 939(995) 940(997) 941(998) 942(999) 943(1000) 944(1001) 945(1002) 946(1003) 947(1004) 948(n) 949(1006) 950(1007) 951(1008) 952(1009) 953(n) 954(1010) 955(1012) 956(1013) 957(n) 959(c) 964(n) 965(n) 966(1031) 967(1033) 968(n) 969(1034) 970(1035) 971(1037) 972(1038) 973(1039) 974(1040) 975(1041) 976(c) 976(1042) 977(c) 977(1043) 978(1044) 979(1045) 980(c) 980(1046) 981(c) 981(1047) 982(c) 982(1048) 983(n) 984(1049) 985(1050) 986(c) 986(1051) 987(1052) 988(1053) 989(1055) 990(1056) 991(1057) 992(1058) 993(1059) 994(1060) 995(1061) 996(c) 996(1062) 997(1063) 998(1064) 999(1066) 1000(1067) 1001(1068) 1002(1069) 1003(1070) 1004(1072) 1005(c) 1005(1073) 1006(1074) 1007(1075) 1008(n) 1009(1076) 1010(1077) 1011(c) 1011(1078) 1012(1079) 1013(1080) 1014(c) 1014(1081) 1015(c) 1015(1082) 1016(c) 1016(1083) 1017(c) 1017(1084) 1018(c) 1018(1085) 1019(c) 1019(1086) 1020(c) 1020(1087) 1021(c) 1021(1088) 1022(c) 1022(1089) 1023(c) 1023(1090) 1024(c) 1024(1091) 1025(c) 1026(c) 1027(c) 1028(c) 1029(c) 1030(c) 1032(c) 1032(1102) 1036(c) 1036(1106) 1037(n) 1038(n) 1039(n) 1040(n) 1041(n) 1042(n) 1043(1107) 1044(1108) 1045(1109) 1046(1110) 1047(1111) 1048(1112) 1049(1113) 1050(1114) 1051(1115) 1052(1116) 1053(1117) 1054(c) 1054(1118) 1055(1119) 1056(1120) 1057(1121) 1058(1122) 1059(1123) 1060(1124) 1061(1125) 1062(1126) 1063(1127) 1064(1128) 1065(c) 1065(1129) 1066(1130) 1067(1131) 1068(1132) 1069(1133) 1070(1134) 1071(c) 1071(1135) 1072(1136) 1073(1137) 1074(1138) 1075(1139) 1076(1141) 1077(1142) 1078(1143) 1079(1144) 1080(1145) 1081(1146) 1082(1147) 1083(1148) 1084(1149) 1085(1150) 1086(1151) 1087(1152) 1088(1153) 1089(1154) 1090(1155) 1091(1156) 1092(1157) 1093(1158) 1094(1159) 1095(1160) 1096(1161) 1097(1162) 1098(1163) 1099(n) 1100(1166) 1101(n) 1102(n) 1103(n) 1104(n) 1105(n) 1106(n) 1107(n) 1108(1173) 1109(1175) 1110(1176) 1111(1177) 1112(1178) 1113(1179) 1114(1180) 1115(n) 1117(1185) 1118(1186) 1119(n) 1120(n) 1121(n) 1122 1123(1187) 1124(1188) 1125(1189) 1126(1190) 1127(1191) 1128(n) 1129(n) 1130(n) 1133(n) 1134(n) 1135(n) 1136(n) 1137(1192) 1138(1193) 1139(1194) 1140(c) 1140(1195) 1141(1196) 1142(1197) 1143(n) 1144(n) 1145(1199) 1146(1200) 1147(1202) 1148(1203) 1149(1204) 1150(1205) 1151(1206) 1152(1207) 1153(1208) 1154(1209) 1155(1210) 1156(1211) 1157(1212) 1158(1213) 1159(1214) 1160(1215) 1161(1216) 1162(1217) 1163(1218) 1164(c) 1164(1219) 1165(c) 1165(1220) 1166(1182) 1166(1221) 1167(c) 1167(1222) 1168(c) 1168(1223) 1169(c) 1169(1224) 1170(c) 1170(1225) 1171(c) 1171(1226) 1172(c) 1172(1227) 1173(1228) 1174(c) 1174(1229) 1175(1231) 1176(1232) 1177(1233) 1178(1234) 1179(1235) 1180(n) 1181(c) 1181(1238) 1182(1240) 1183(c) 1183(1241) 1184(c) 1184(1242) 1185(1243) 1186(1244) 1187(1245) 1188(n) 1189(1247) 1190(1248) 1191(1249) 1192(n) 1193(1251) 1194(1252) 1195(1253) 1196(1254) 1197(1255) 1198(c) 1198(1256) 1199(1257) 1200(1258) 1201(c) 1201(1259) 1202(1260) 1203(1261) 1204(1262) 1205(1263) 1206(1264) 1207(1265) 1208(1267) 1209(1268) 1210(n) 1211(1269) 1212(1270) 1213(1271) 1214(1272) 1215(1273) 1216(1274) 1217(1275) 1218(1276) 1219(1277) 1220(1278) 1221(1279) 1222(1280) 1223(1281) 1224(1282) 1225(1283) 1226(n) 1227(1285) 1228(1286) 1229(1287) 1230(c) 1230(1288) 1231(1289) 1236(c) 1237(c) 1239(c) 1246(c) 1250(c) 1266(c) 1284(c)