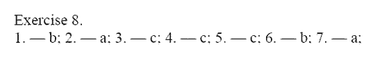
Решения домашних заданий по английскому языку 9 класс Афанасьева О.В., Михеева И.В. 8 упражнение Student’S Book


Решебник: Student’S Book
Дисциплина: Английский язык
Класс: 9 класс
Автор: Афанасьева О.В., Михеева И.В. Год издания: 2003-2010

Перейти к упражнению

2 3 4 5 6 7 8 9 10 11 12 13 14 15 16 17 18 19 20 21 22 23 26 27 28 29 30 31 32 33 35 36 37 38 39 40 43 44 45 46 50 60 624 6 7 8 9 10 12 14 15 16 18 19 20 21 22 24 25 26 27 30 31 32 33 35 36 37 40 41 42 43 44 48 50 51 63 64 692 4 5 6 7 8 9 10 11 13 14 15 16 18 19 20 21 22 23 24 25 26 27 28 29 30 31 32 35 36 37 38 39 40 41 43 44 45 46 47 49 51 52 53 54 55 56 57 58 60 64 68