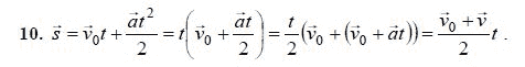
Решения домашних заданий по физике 9 класс Перышкин А.В. 10 упражнение
|
| Дисциплина: Физика |
| Класс: 9 класс |
| Автор: Перышкин А.В. Год издания: 2003-2010 |
|
Перейти к упражнению
- 1 2 3 4 5 6 7 8 91 2 31 2 31 2 3 4 51 2 3 4 5 6 71 2 31 21 2 3 4 51 2 3 4 51 2 3 4 5 6 7 8 91 2 3 4 5 61 2 3 4 51 2 3 4 5 61 2 3 4 51 2 3 4 5 6 71 2 3 4 51 2 31 2 3 41 2 3 4 5 61 2 3 4 5 6 71 2 3 4 5 6 7 81 2 31 2 3 41 2 3 4 5 6 71 2 3 4 5 61 2 3 4 5 6 71 2 3 4 51 2 3 4 5 6 7 81 2 3 4 51 2 3 4 51 2 3 41 2 3 4 51 2 3 4 51 2 3 4 5 6 7 81 2 3 4 5 61 2 3 41 2 3 4 5 61 2 3 41 2 3 4 51 2 3 4 5 6 7 81 2 3 4 5 6 71 2 3 4 51 2 3 4 51 2 3 4 5 6 71 2 3 4 5 61 2 3 41 2 3 41 2 3 4 51 2 3 4 51 2 3 4 5 6 7 8 9 10 111 2 31 2 3 4 5 6 71 2 3 4 5 6 71 2 3 4 5 6 7 81 2 3 4 5 6 71 2 3 4 5 61 2 3 41 2 3 4 5 6 7 8 91 2 3 4 5 6 71 2 3 41 2 3 4 5 6 7 81 2 3 4 51 2 3 41 2 3 4 51 2 3 4 51 2 3 4 5 6 7 8 91 2 3 4 51 2 3 41 2 3 4 51 2 3 4 5 6 7 8 91 21 2 31 2 3 4 5 61 2 3 4 51 2 3 4 5 6 7 8 91 2 3 41 2 3 4 5 6 7 8 91 2 3 4 5 6 7 8 9