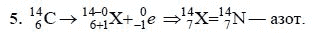
Решения домашних заданий по физике 9 класс Перышкин А.В. 5 упражнение


Дисциплина: Физика
Класс: 9 класс
Автор: Перышкин А.В. Год издания: 2003-2010

Перейти к упражнению

1 2 3 4 5 7 8 9 10 11 12 13 14 15 16 17 18 19 20 21 22 23 24 25 26 27 28 29 30 31 32 33 34 35 36 37 38 39 40 41 42 43 44 452 3 4 5 6 1(variant1) 1(variant2)1 2 3 4 51 21 21 21 2 31 2 3 4 51 2 31 21 2 3 4 511 2 3 4 5 61 2 31 2 311 2 3 4 51 2 3 4 5 61 2 31 2 3 4 51 21 2 3 41 21 2 31 21 2 3 4 5 6 71 21 21 2 31 2 311 2 31 21 2 3 4 51 21 21 2 3 4 5 61 2 3 4 51 211 21 211 211 2 31 2 3 4 5111 21 2 311 2 3 4 511 2 3 4 51