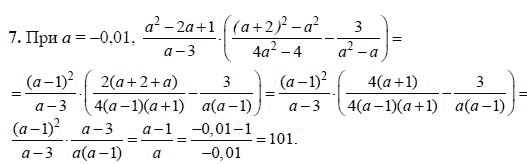
Решения домашних заданий по алгебре 8 класс Мордкович А.Г., Мордкович Т.Н. 7 упражнение
|
| Дисциплина: Алгебра |
| Класс: 8 класс |
| Автор: Мордкович А.Г., Мордкович Т.Н. Год издания: 2009 |
|
/* */
ВЫБЕРИТЕ ПРОФЕССИОНАЛЬНУЮ ПОМОЩЬ!
|
| Дисциплина: Алгебра |
| Класс: 8 класс |
| Автор: Мордкович А.Г., Мордкович Т.Н. Год издания: 2009 |
|