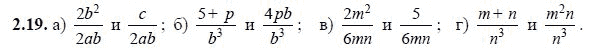
Решения домашних заданий по алгебре 8 класс Мордкович А.Г., Мордкович Т.Н. 2.19 упражнение


Дисциплина: Алгебра
Класс: 8 класс
Автор: Мордкович А.Г., Мордкович Т.Н. Год издания: 2009

Перейти к упражнению

1 2 3 4 5 6 7 8 91 3 4 5 6 7 8 91 2 3 4 5 6 7 8 91 2 3 4 5 6 7 8 9 101 2 3 4 5 6 7 81 2 3 4 5 6 7 81 2 3 4 5 6 7 81 2 3 4 5 6 7 81 1.1 1.2 1.3 1.4 1.5 1.6 1.7 1.8 1.9 1.10 1.11 1.12 1.13 1.14 1.15 1.16 1.17 1.18 1.19 1.20 1.21 1.22 1.23 1.24 1.25 1.26 1.27 1.28 1.29 1.30 1.31 1.32 1.33 1.34 1.35 1.36 1.37 1.38 1.39 1.40 1.41 2 2.1 2.2 2.3 2.4 2.5 2.6 2.8 2.9 2.10 2.11 2.12 2.13 2.14 2.15 2.16 2.17 2.18 2.19 2.20 2.21 2.22 2.23 2.24 2.25 2.26 2.27 2.28 2.29 2.30 2.31 2.32 2.33 2.34 2.35 2.36 2.37 2.38 2.39 2.40 2.41 2.42 2.43 2.44 2.45 2.46 3 3.1 3.2 3.3 3.4 3.5 3.6 3.7 3.8 3.9 3.10 3.11 3.12 3.13 3.14 3.15 3.16 3.17 3.18 3.19 3.20 3.21 3.22 3.23 3.24 3.25 3.26 3.27 3.28 3.29 4 4.1 4.2 4.3 4.4 4.5 4.6 4.7 4.8 4.9 4.10 4.11 4.12 4.13 4.14 4.15 4.16 4.17 4.18 4.19 4.20 4.21 4.22 4.23 4.24 4.25 4.26 4.27 4.28 4.29 4.30 4.31 4.32 4.33 4.34 4.35 4.36 4.37 4.38 4.39 4.40 4.41 4.42 4.43 4.44 4.45 4.46 4.47 4.48 4.49 4.50 4.51 4.52 4.53 4.54 4.55 4.56 5 5.1 5.2 5.3 5.4 5.5 5.6 5.7 5.8 5.9 5.10 5.11 5.12 5.13 5.14 5.15 5.16 5.17 5.18 5.19 5.20 5.21 5.22 5.23 5.24 5.25 5.26 5.27 5.28 5.29 5.30 5.31 5.32 5.33 5.34 5.35 5.36 5.37 5.38 5.39 5.40 5.41 5.42 5.43 5.44 5.45 5.46 6 6.1 6.2 6.3 6.4 6.5 6.6 6.7 6.8 6.9 6.10 6.11 6.12 6.13 6.14 6.15 6.16 6.17 6.18 6.19 6.20 6.21 6.22 6.23 6.24 7 7.1 7.2 7.3 7.4 7.5 7.6 7.7 7.8 7.9 7.10 7.11 7.12 7.13 7.14 7.15 7.16 7.17 7.18 7.19 7.20 7.21 7.22 7.27 7.28 7.29 7.30 7.31 7.32 7.33 7.34 7.35 7.36 7.37 7.38 7.39 7.40 8 8.1 8.2 8.3 8.4 8.5 8.6 8.7 8.8 8.9 8.10 8.11 8.12 8.13 8.14 8.15 8.16 8.17 8.18 8.19 8.20 8.21 8.22 8.23 8.24 8.25 8.26 8.27 8.28 8.29 8.30 8.31 8.32 9 9.1 9.2 9.3 9.4 9.5 9.6 9.7 9.8 9.9 9.10 9.11 9.12 9.13 9.14 9.15 9.16 9.17 9.18 9.19 9.20 9.21 9.22 9.23 9.24 9.25 9.26 9.27 9.28 9.29 10 10.1 10.2 10.3 10.4 10.5 10.6 10.7 10.8 10.9 10.10 10.11 10.12 10.13 10.14 10.15 10.16 10.17 10.18 10.19 10.20 10.21 10.22 10.23 10.24 10.25 10.26 10.27 10.28 10.29 10.30 10.31 10.32 10.33 10.34 10.35 10.36 10.37 10.38 10.39 10.40 10.41 10.42 10.43 11.10 11.11 11.12 11.14 11.15 11.16 11.17 12.10 12.11 12.12 12.13 12.14 12.15 12.16 12.17 12.18 12.19 12.20 12.21 12.22 13.10 13.11 13.12 13.13 13.14 13.15 13.16 13.17 13.18 13.19 13.20 13.21 13.22 13.23 13.24 13.25 13.26 13.27 13.28 13.29 13.30 13.31 13.32 14.2 14.3 14.4 14.5 14.6 14.7 14.8 14.9 14.12 14.13 14.14 14.15 14.16 14.17 14.18 14.19 14.20 14.21 14.22 14.23 14.24 14.26 14.27 14.28 14.29 14.30 14.31 14.32 14.33 14.34 14.35 14.36 15.1 15.2 15.3 15.4 15.5 15.6 15.7 15.8 15.9 15.10 15.21 15.22 15.23 15.24 15.25 15.26 15.27 15.28 15.29 15.30 15.31 15.32 15.33 15.34 15.35 15.36 15.37 15.38 15.39 15.40 15.41 15.42 15.43 15.44 15.45 15.46 15.47 15.48 15.49 15.50 15.51 15.52 15.53 15.54 15.55 15.56 15.57 15.58 15.59 15.60 15.61 15.62 15.63 15.64 15.65 15.66 15.67 15.68 15.69 15.70 15.71 15.72 15.73 15.74 15.75 15.76 15.77 15.78 15.79 15.80 15.81 15.82 15.83 15.84 15.85 15.86 15.87 15.88 15.89 15.90 15.91 15.92 15.93 15.94 15.96 15.97 15.98 15.99 15.100 15.102 15.105 15.106 16.1 16.2 16.3 16.4 16.5 16.6 16.7 16.8 16.9 16.10 16.11 16.12 16.13 16.14 16.15 16.16 16.17 16.18 16.19 16.20 16.21 16.22 16.23 16.24 16.25 16.26 16.27 16.28 16.29 16.30 16.31 16.32 16.33 16.34 16.35 16.36 16.37 16.38 16.39 16.40 16.41 16.42 16.43 16.44 17.1 17.2 17.3 17.4 17.5 17.6 17.7 17.8 17.9 17.10 17.11 17.12 17.13 17.14 17.15 17.16 17.17 17.18 17.19 17.20 17.21 17.22 17.23 17.25 17.26 17.27 17.29 17.30 17.31 17.32 17.33 17.34 17.35 17.36 17.37 17.38 17.39 17.40 17.41 17.42 17.43 17.44 17.45 17.46 17.47 17.48 17.49 17.50 17.51 17.52 17.53 17.54 17.55 17.56 17.57 17.58 17.59 17.60 17.61 17.62 17.63 17.64 17.65 17.66 18.1 18.2 18.3 18.4 18.5 18.6 18.7 18.8 18.9 18.10 18.11 18.12 18.13 18.14 18.15 18.16 18.17 18.18 18.20 18.21 18.22 18.23 18.24 18.25 18.26 18.27 18.28 18.29 18.30 18.31 18.32 18.33 18.34 18.35 18.36 18.37 18.38 19.1 19.2 19.3 19.4 19.5 19,6 19.7 19.8 19.9 19.10 19.11 19.12 19.13 19.14 19.15 19.16 19.17 19.18 19.19 19.20 19.21 19.22 19.23 19.24 19.25 19.26 19.27 19.28 19.30 19.31 19.32 19.33 19.34 19.35 19.36 19.37 19.38 19.39 19.40 19.41 19.42 19.43 19.44 19.45 19.46 19.47 19.48 19.49 19.50 19.51 19.52 19.53 19.54 19.55 19.56 19.57 19.58 20 20.1 20.2 20.3 20.4 20.5 20.6 20.7 20.8 20.9 20.10 20.11 20.12 20.13 20.14 20.15 20.16 20.17 20.18 20.19 20.20 20.21 20.22 20.23 20.24 20.25 20.26 20.27 20.28 20.29 20.30 20.31 20.32 20.33 20.34 20.35 20.36 20.37 20.38 20.39 20.40 20.41 20.42 21.10 21.11 21.12 21.13 21.14 21.15 21.16 21.17 21.18 21.19 21.20 21.21 21.22 21.23 21.24 21.25 21.26 21.27 21.28 21.29 22.10 22.11 22.12 22.13 22.14 22.15 22.16 22.17 22.18 22.19 22.20 22.21 22.22 22.23 22.24 22.25 22.26 22.27 22.28 22.29 22.30 22.31 22.32 22.33 22.34 22.35 22.36 22.37 22.38 22.39 22.40 22.41 22.42 22.43 22.44 22.45 22.46 22.47 22.48 22.49 22.50 22.51 22.52 22.53 22.54 22.55 23.10 23.11 23.12 23.13 23.14 23.15 23.16 23.17 23.18 23.19 23.20 23.21 23.22 23.23 23.24 24.7 24.8 24.9 24.10 24.11 24.12 24.13 24.14 24.15 24.16 24.17 24.18 24.19 24.20 24.21 24.22 24.23 24.24 24.25 24.26 24.27 24.28 24.29 24.30 24.31 24.32 24.33 24.34 24.35 24.36 24.37 24.38 24.39 25.1 25.2 25.3 25.4 25.5 25.6 25.7 25.8 25.9 25.10 25.11 25.12 25.13 25.14 25.15 25.16 25.17 25.18 25.19 25.20 25.21 25.22 25.23 25.24 25.25 25.26 25.27 25.28 25.29 25.30 25.31 25.32 25.33 25.35 25.36 25.37 25.38 25.39 25.40 25.41 25.42 25.43 25.44 25.45 25.46 25.47 25.48 26.1 26.2 26.3 26.4 26.5 26.6 26.7 26.8 26.9 26.10 26.11 26.12 26.13 26.14 26.15 26.16 26.17 26.18 26.19 26.20 26.21 26.22 26.23 26.24 26.25 26.26 26.27 26.28 27 27.1 27.2 27.3 27.4 27.5 27.6 27.7 27.8 27.9 27.10 27.11 27.12 27.13 27.14 27.15 27.16 27.17 27.18 27.19 27.20 27.21 27.22 27.23 27.24 27.25 27.26 27.27 27.28 27.29 27.30 27.31 27.32 27.33 27.34 27.35 27.36 27.37 27.38 27.39 27.40 27.41 27.42 27.43 27.44 27.45 28.1 28.2 28.3 28.4 28.5 28.6 28.7 28.8 28.9 28.10 28.11 28.12 28.13 28.14 28.15 28.16 28.17 28.18 28.19 28.20 28.21 28.22 28.23 28.24 28.25 28.26 28.27 28.28 29.1 29.2 29.3 29.4 29.5 29.6 29.7 29.8 29.9 29.10 29.11 29.12 29.14 29.15 29.16 29.17 29.18 29.19 29.20 29.21 29.22 29.23 29.24 29.25 29.26 29.27 29.28 29.29 29.30 29.31 29.32 29.33 29.34 29.35 29.36 29.37 29.38 29.39 29.40 29.41 29.42 29.43 29.44 29.45 29.46 29.47 29.48 29.49 29.50 29.51 29.52 29.53 29.54 29.55 30 30.1 30.2 30.3 30.4 30.5 30.6 30.7 30.8 30.9 30.10 30.11 30.12 30.13 30.14 30.15 30.16 30.17 30.18 30.19 30.20 30.21 30.22 30.23 30.24 31.10 31.11 31.12 31.13 31.14 31.15 31.16 31.17 31.18 31.19 31.20 31.21 31.22 31.23 31.24 31.25 31.26 31.27 31.28 31.29 31.30 31.31 31.32 31.33 31.34 31.35 31.36 31.37 31.38 31.39 31.40 31.41 31.42 31.43 31.44 31.45 31.46 31.47 31.48 31.49 31.50 31.51 31.52 31.53 31.54 31.55 31.56 31.57 31.58 31.59 31.60 31.61 31.62 31.63 31.64 31.65 32.10 32.11 32.12 32.13 32.14 33.1 33.2 33.3 33.4 33.5 33.6 33.7 33.8 33.9 33.10 33.11 33.12 33.13 33.14 33.15 33.16 33.17 33.18 33.19 33.20 33.21 33.22 33.23 33.24 33.25 33.26 33.27 33.28 33.29 33.30 33.31 33.32 33.33 33.34 33.35 33.36 33.37 33.38 34.1 34.2 34.3 34.4 34.5 34.6 34.7 34.8 34.9 34.10 34.11 34.12 34.13 34.14 34.15 34.16 34.17 34.18 34.19 34.20 34.21 34.22 34.23 34.24 34.25 34.26 34.27 34.28 34.29 34.30 34.31 34.32 34.33 34.34 34.35 34.36 34.37 34.38 34.39 34.40 34.41 34.42 34.43 34.44 34.45 34.46 35.1 35.2 35.3 35.4 35.5 35.6 35.7 35.8 35.9 35.11 35.12 36.1 36.2 36.3 36.4 36.5 36.6 36.7 36.8 36.9 36.10 36.11 36.12 36.13 36.14 36.15 36.16 36.17 36.18 36.19 40 50 60 70 80 90 100 150