Решения домашних заданий по алгебре 9 класс Мордкович А.Г. 18 упражнение


Дисциплина: Алгебра
Класс: 9 класс
Автор: Мордкович А.Г. Год издания: 2008

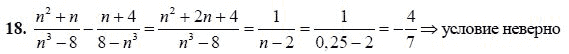
Упражнение 18

Перейти к упражнению