Решения домашних заданий по алгебре 9 класс Мордкович А.Г. 16 упражнение
|
| Дисциплина: Алгебра |
| Класс: 9 класс |
Автор: Мордкович А.Г.
Год издания: 2008
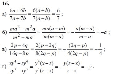
Упражнение 16 |
|
Перейти к упражнению
- Неравенства и системы неравенств: 1 2 7 8 9 11 12 13 14 15 16 17 18 19 20 21 22 23 24 25 26 27 28 29 30 31 32 33 34 35 36 37 38 39 40 41 42 43 44 45 46 47 48 49 50 52 53 54 55 56 57 58 59 60 61 62 63 64 65 66 67 68 69 70 71 72 73 74 75 76 77 78 79 80 81 82 83 84 85 86 87 88 89 90 91 92 93 94 95 96 97 98 99 100 101 102 103 104 105 106 107 108 109 110 111 112 113 114 115
- Итоговое повторение:
- Задачи на повторение: 1 2 3 4 5 6 7 8 9 10 11 12 13 14 15 16 17 18 19 20 21 22 23 24 25 26 27 28 29 30 31 32 33 34 35 36 37 38 39 40 41 42 43 44 45 46 47 48 49 50 51 52 53 54 55 56 57 58 59
- Глава 1. Домашняя контрольная работа:
- Глава 2. Домашняя контрольная работа:
- Глава 3. Домашняя контрольная работа:
- Глава 4. Домашняя контрольная работа: