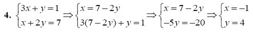
Решения домашних заданий по алгебре 7 класс Мордкович А.Г. 4 упражнение
|
| Дисциплина: Алгебра |
| Класс: 7 класс |
| Автор: Мордкович А.Г. Год издания: 2010 |
|
ВЫБЕРИТЕ ПРОФЕССИОНАЛЬНУЮ ПОМОЩЬ!
|
| Дисциплина: Алгебра |
| Класс: 7 класс |
| Автор: Мордкович А.Г. Год издания: 2010 |
|