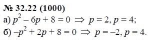
Решения домашних заданий по алгебре 7 класс Мордкович А.Г. 32.22(1000) упражнение


Дисциплина: Алгебра
Класс: 7 класс
Автор: Мордкович А.Г. Год издания: 2010

Перейти к упражнению

1 2 3 4 5 6 7 8 91 2 3 4 5 6 7 8 91 2 3 4 5 6 7 8 91 2 3 4 5 6 7 8 91 2 3 4 5 6 7 8 91 2 3 4 5 6 7 8 91 2 3 4 5 6 7 8 91 2 3 4 5 6 7 8 91 2 3 4 5 6 7 8 91 2 3 4 5 6 7 8 91 2 3 4 5 6 7 8 91 2 3 4 5 6 7 8 91 2 3 4 5 6 7 8 9 10p.1 p.2 p.3 p.4 p.5 p.6 p.7 p.8 p.9 p.10 p.11 p.12 p.13 p.14 p.15 p.16 p.17 p.18 p.19 p.20 p.21 p.22 p.23 p.24 p.25 p.26 p.27 p.28 p.29 p.30 p.31 p.32 p.33 p.34 p.35 p.36 p.37 p.38 p.39 p.40 p.41 p.42 p.43 p.44 p.45 p.46 p.47 p.48 p.49 p.50 p.51 p.52 p.53 p.54 p.55 p.56 p.57 p.58 p.59 p.60 p.61 p.62 p.63 p.64 p.65 p.66 p.67 p.68 p.69 p.70 p.71 1 2 3 4 5 6 7 8 9 101.1(1) 1.2(2) 1.3(3) 1.4(4) 1.5(5) 1.6(6) 1.7(7) 1.8(8) 1.9(9) 1.10(10) 1.11(11) 1.12(12) 1(1265) 1.13(13) 1.14(14) 1.15(15) 1.16(16) 1.17(17) 1.18(18) 1.19(19) 1.20(20) 1.21(21) 1.22(22) 1.23(23) 1.24(24) 1.25(25) 1.26(26) 1.27(27) 1.28(28) 1.29(29) 1.30(30) 1.31(31) 1.32(32) 1.33(33) 1.34(34) 1.35(35) 1.36(36) 1.37(37) 1.38(38) 1.39(39) 1.40(40) 1.41(41) 1.42(42) 1.43(43) 1.44(44) 1.45(45) 1.46(46) 1.47(47) 2.1(48) 2.2(49) 2.3(50) 2.4(51) 2.5(52) 2.6(53) 2.7(54) 2.8(55) 2.9(56) 2.10(57) 2.11(58) 2.12(59) 2(1266) 2.13(60) 2.14(61) 2.15(62) 2.16(63) 2.17(64) 2.18(65) 2.19(66) 2.20(67) 2.21(68) 2.22(69) 2.23(70) 3.31 3.1(71) 3.2(72) 3.3(73) 3.4(74) 3.5(75) 3.6(76) 3.7(77) 3.8(78) 3.9(79) 3.10(80) 3.11(81) 3(1267) 3.12(82) 3.13(83) 3.14(84) 3.15(85) 3.16(86) 3.17(87) 3.18(88) 3.19(89) 3.20(90) 3.21(91) 3.22(92) 3.23(93) 3.24(94) 3.25(95) 3.26(96) 3.27(97) 3.28(98) 3.29(99) 3.30(100) 3.32(102) 3.33(103) 3.34(104) 3.35(105) 3.36(106) 3.37(107) 3.38(108) 3.39(109) 3.40(110) 3.41(111) 3.42(112) 3.43(113) 3.44(114) 3.45(115) 3.46(116) 3.47(117) 4.1(118) 4(1268) 4.2(119) 4.3(120) 4.4(121) 4.5(122) 4.6(123) 4.7(124) 4.8(125) 4.9(126) 4.11(128) 4.12(129) 4.13(130) 4.14(131) 4.15(132) 4.16(133) 4.17(134) 4.18(135) 4.19(136) 4.20(137) 4.21(138) 4.22(139) 4.23(140) 4.24(141) 4.25(142) 4.26(143) 4.27(144) 4.28(145) 4.29(146) 4.30(147) 4.31(148) 4.32(149) 4.33(150) 4.34(151) 4.35(152) 4.36(153) 4.37(154) 4.38(155) 4.39(156) 4.40(157) 4.41(158) 4.42(159) 4.43(160) 5.1(161) 5(1269) 5.2(162) 5.3(163) 5.4(164) 5.5(165) 5.6(166) 5.7(167) 5.8(168) 5.9(169) 5.10(170) 5.11(171) 5.12(172) 5.13(173) 5.14(174) 5.15(175) 5.16(176) 5.17(177) 5.18(178) 5.19(179) 5.20(180) 5.21(181) 5.22(182) 5.23(183) 5.24(184) 5.25(185) 5.26(186) 5.27(187) 5.28(188) 5.29(189) 5.30(190) 5.31(191) 5.32(192) 5.33(193) 5.34(194) 5.35(195) 5.36(196) 5.37(197) 5.38(198) 5.39(199) 5.40(200) 5.41(201) 5.42(202) 6.1(203) 6(1270) 6.2(204) 6.3(205) 6.4(206) 6.5(207) 6.6(208) 6.7(209) 6.8(210) 6.9(211) 6.10(212) 6.11(213) 6.12(214) 6.13(215) 6.14(216) 6.15(217) 6.16(218) 6.17(219) 6.18(220) 6.19(221) 6.20(222) 6.21(223) 6.22(224) 6.23(225) 6.24(226) 6.25(227) 6.27(229) 6.28(230) 6.29(231) 6.30(232) 6.31(233) 6.32(234) 6.33(235) 6.34(236) 6.35(237) 6.36(238) 6.37(239) 6.38(240) 6.39(241) 7.39 7.1(243) 7(1271) 7.2(244) 7.3(245) 7.4(246) 7.5(247) 7.6(248) 7.7(249) 7.8(250) 7.9(251) 7.10(252) 7.11(253) 7.12(254) 7.13(255) 7.14(256) 7.15(257) 7.16(258) 7.17(259) 7.18(260) 7.19(261) 7.20(262) 7.21(263) 7.22(264) 7.23(265) 7.24(266) 7.25(267) 7.26(268) 7.27(269) 7.28(270) 7.29(271) 7.30(272) 7.31(273) 7.32(274) 7.33(275) 7.34(276) 7.35(277) 7.36(278) 7.37(279) 7.38(280) 8(1272) 8.1(282) 8.2(283) 8.3(284) 8.4(285) 8.5(286) 8.6(287) 8.7(288) 8.8(289) 8.9(290) 8.10(291) 8.11(292) 8.12(293) 8.13(294) 8.14(295) 8.15(296) 8.16(297) 8.17(298) 8.18(299) 8.19(300) 8.20(301) 8.21(302) 8.22(303) 8.23(304) 8.24(305) 8.25(306) 8.26(307) 8.27(308) 8.28(309) 8.29(310) 8.30(311) 8.31(312) 8.32(313) 8.33(314) 8.34(315) 8.35(316) 8.36(317) 8.37(318) 8.38(319) 8.39(320) 8.40(321) 8.41(322) 8.42(323) 8.43(324) 8.44(325) 8.45(326) 8.46(327) 8.47(328) 8.48(329) 8.49(330) 8.50(331) 8.51(332) 8.52(333) 8.53(334) 8.54(335) 8.55(336) 8.56(337) 8.57(338) 8.58(339) 8.59(340) 8.60(341) 8.61(342) 8.62(343) 8.63(344) 8.64(345) 8.65(346) 8.66(347) 9(1273) 9.1(348) 9.2(349) 9.3(350) 9.4(351) 9.5(352) 9.6(353) 9.7(354) 9.8(355) 9.9(356) 9.10(357) 9.11(358) 9.12(359) 9.13(360) 9.14(361) 9.15(362) 9.16(363) 9.17(364) 9.18(365) 9.19(366) 10.2 10(1274) 10.1(367) 10.3(369) 10.4(370) 10.5(371) 10.6(372) 10.7(373) 10.8(374) 10.9(375) 10.10(376) 10.11(377) 10.12(378) 10.13(379) 10.14(380) 10.15(381) 10.16(382) 10.17(383) 10.18(384) 10.19(385) 10.20(386) 10.21(387) 10.22(388) 10.23(389) 11(1275) 11.1(390) 11.2(391) 11.3(392) 11.4(393) 11.5(394) 11.6(395) 11.7(396) 11.8(397) 11.9(398) 11.10(399) 11.11(400) 11.12(401) 11.13(402) 11.14(403) 11.15(404) 11.16(405) 11.17(406) 11.18(407) 11.19(408) 11.20(409) 11.21(410) 12(1276) 12.1(411) 12.2(412) 12.3(413) 12.4(414) 12.5(415) 12.6(416) 12.7(417) 12.8(418) 12.9(419) 12.10(420) 12.11(421) 12.12(422) 12.13(423) 12.14(424) 12.15(425) 12.16(426) 12.17(427) 12.18(428) 12.19(429) 12.20(430) 12.21(431) 12.22(432) 12.23(433) 12.25(435) 12.26(436) 12.27(437) 12.28(438) 12.29(439) 12.64(434) 13(1277) 13.1(440) 13.2(441) 13.3(442) 13.4(443) 13.5(444) 13.6(445) 13.7(446) 13.8(447) 13.9(448) 13.10(449) 13.11(450) 13.12(451) 13.13(452) 13.14(453) 13.15(454) 13.16(455) 13.17(456) 13.18(457) 14(1278) 14.1(458) 14.2(459) 14.3(460) 14.4(461) 14.5(462) 14.6(463) 14.7(464) 14.8(465) 14.9(466) 14.10(467) 14.11(468) 14.12(469) 14.13(470) 14.14(471) 14.15(472) 14.16(473) 14.17(474) 14.18(475) 14.19(476) 14.20(477) 14.21(478) 14.22(479) 14.23(480) 14.24(481) 14.25(482) 14.26(483) 14.27(484) 14.28(485) 14.29(486) 14.30(487) 14.31(488) 14.32(489) 14.33(490) 14.34(491) 14.35(492) 14.36(493) 14.37(494) 14.38(495) 15(1279) 15.1(496) 15.2(497) 15.3(498) 15.4(499) 15.5(500) 15.6(501) 15.7(502) 15.8(503) 15.9(504) 15.10(505) 15.11(506) 15.12(507) 15.13(508) 15.14(509) 15.15(510) 15.16(511) 15.17(512) 15.18(513) 15.19(514) 15.20(515) 15.21(516) 15.22(517) 15.23(518) 15.24(519) 15.25(520) 15.26(521) 15.27(522) 15.28(523) 15.29(524) 15.30(525) 15.31(526) 15.32(527) 15.33(528) 15.34(529) 15.35(530) 15.36(531) 15.37(532) 16(1280) 16.1(533) 16.2(534) 16.3(535) 16.4(536) 16.5(537) 16.6(538) 16.7(539) 16.8(540) 16.9(541) 16.10(542) 16.11(543) 16.12(544) 16.13(545) 16.14(546) 16.15(547) 16.16(548) 16.17(549) 16.19(550) 16.19(551) 16.20(552) 16.21(553) 16.22(554) 16.23(555) 16.24(556) 16.25(557) 16.26(558) 17(1281) 17.1(559) 17.2(560) 17.3(561) 17.4(562) 17.5(563) 17.6(564) 17.7(565) 17.8(566) 17.9(567) 17.10(568) 17.11(569) 17.12(570) 17.13(571) 17.14(572) 17.15(573) 17.16(574) 17.17(575) 17.18(576) 17.19(577) 17.20(578) 17.21(579) 17.22(580) 17.23(581) 17.24(582) 17.25(583) 17.26(584) 17.27(585) 17.28(586) 17.29(587) 17.30(588) 17.31(589) 17.32(590) 17.33(591) 17.34(592) 17.35(593) 17.36(594) 17.37(595) 17.38(596) 17.39(597) 17.40(598) 17.41(599) 17.42(600) 18(1282) 18.1(601) 18.2(602) 18.3(603) 18.4(604) 18.5(605) 18.6(606) 18.7(607) 18.8(608) 18.9(609) 18.10(610) 18.11(611) 18.12(612) 18.13(613) 18.14(614) 18.15(615) 18.16(616) 18.17(617) 18.18(618) 18.19(619) 18.20(620) 18.21(621) 18.22(622) 18.23(623) 18.24(624) 19(1283) 19.1(625) 19.2(626) 19.3(627) 19.4(628) 19.5(629) 19.6(630) 19.7(631) 19.8(632) 19.9(633) 19.10(634) 19.11(635) 19.12(636) 20(1284) 20.1(637) 20.3(639) 20.5(641) 20.6(642) 20.7(643) 20.8(644) 20.9(645) 20.10(646) 20.11(647) 20.12(648) 20.13(649) 20.14(650) 20.15(651) 20.16(652) 20.17(653) 20.18(654) 20.19(655) 21(1285) 21.1(656) 21.2(657) 21.3(658) 21.4(659) 21.5(660) 21.6(661) 21.7(662) 21.8(663) 21.9(664) 21.10(665) 21.11(666) 21.12(667) 21.13(668) 21.14(669) 21.15(670) 21.16(671) 21.17(672) 21.18(673) 21.19(674) 21.20(675) 21.21(676) 21.22(677) 21.23(678) 21.24(679) 21.25(680) 21.26(681) 21.27(682) 21.28(683) 21.29(684) 21.30(685) 21.31(686) 21.32(687) 21.33(688) 21.34(689) 21.35(690) 21.36(691) 21.37(692) 21.39(694) 21.40(695) 21.41(696) 21.83(693) 22(1286) 22.1(697) 22.2(698) 22.4(700) 22.5(701) 22.6(702) 22.7(703) 22.8(704) 22.9(705) 22.10(706) 22.11(707) 22.12(708) 22.13(709) 22.14(710) 22.15(711) 22.16(712) 22.17(713) 22.18(714) 22.19(715) 22.20(716) 22.21(717) 22.22(718) 22.23(719) 22.24(720) 22.25(721) 22.26(722) 22.27(723) 22.28(724) 22.29(725) 22.30(726) 22.31(727) 22.32(728) 22.33(729) 22.34(730) 23(1287) 23.1(731) 23.2(732) 23.3(733) 23.4(734) 23.5(735) 23.6(736) 23.7(737) 23.8(738) 23.9(739) 23.10(740) 23.11(741) 23.12(742) 23.13(743) 23.14(744) 23.15(745) 23.16(746) 23.17(747) 23.18(748) 23.19(749) 24(1288) 24.1(750) 24.2(751) 24.3(752) 24.4(753) 24.5(754) 24.6(755) 24.7(756) 24.8(757) 24.9(758) 24.10(759) 24.11(760) 24.12(761) 24.13(762) 24.14(763) 24.15(764) 24.16(765) 24.16(768) 24.17(766) 24.18(767) 24.20(769) 24.22(771) 24.23(772) 24.24(770) 24.24(773) 24.25(774) 24.26(775) 24.27(776) 24.28(777) 25(1289) 25.1(778) 25.2(779) 25.3(780) 25.4(781) 25.5(782) 25.6(783) 25.7(784) 25.8(785) 25.9(786) 25.10(787) 25.11(788) 25.12(789) 25.13(790) 26(1290) 26.1(791) 26.3(792) 26.3(793) 26.4(794) 26.5(795) 26.6(796) 26.7(797) 26.8(798) 26.9(799) 26.10(800) 26.12(802) 26.14(804) 26.15(805) 26.16(806) 26.17(807) 26.18(808) 26.19(809) 26.20(810) 26.21(811) 26.22(812) 26.23(813) 26.26(816) 26.27(817) 26.28(818) 26.29(819) 26.30(820) 26.31(821) 27(1291) 27.1(824) 27.2(825) 27.3(826) 27.4(827) 27.5(828) 27.6(829) 27.7(830) 27.8(831) 27.9(832) 27.10(833) 27.11(834) 27.12(835) 27.13(836) 27.14(837) 27.15(838) 27.16(839) 27.17(840) 27.18(841) 27.19(842) 27.20(843) 27.21(844) 27.22(845) 27.23(846) 27.24(847) 27.25(848) 27.26(849) 27.27(850) 28(1292) 28.1(851) 28.2(852) 28.3(853) 28.4(854) 28.5(855) 28.6(856) 28.7(857) 28.8(858) 28.9(859) 28.10(860) 28.11(861) 28.12(862) 28.13(863) 28.14(864) 28.15(865) 28.16(866) 28.17(867) 28.18(868) 28.19(869) 28.20(870) 28.21(871) 28.22(872) 28.23(873) 28.24(874) 28.25(875) 28.26(876) 28.27(877) 28.28(878) 28.29(879) 28.30(880) 28.31(881) 28.32(882) 28.33(883) 28.34(884) 28.35(885) 28.36(886) 28.37(887) 28.38(888) 28.39(889) 28.40(890) 28.41(891) 28.42(892) 28.43(893) 28.44(894) 28.45(895) 28.46(896) 28.47(897) 28.48(898) 28.49(899) 28.50(900) 28.51(901) 28.52(902) 28.53(903) 28.54(904) 28.55(905) 28.56(906) 28.57(907) 28.58(908) 28.59(909) 28.60(910) 28.61(911) 28.62(912) 28.63(913) 28.64(914) 28.65(915) 29(1293) 29.1(916) 29.2(916) 29.3(918) 29.5(920) 29.6(921) 29.7(922) 29.8(923) 29.9(924) 29.10(925) 29.11(926) 29.12(927) 29.13(928) 29.14(919) 29.14(929) 29.15(930) 29.16(931) 29.17(932) 30(1294) 30.1(933) 30.2(934) 30.3(935) 30.4(936) 30.5(937) 30.6(938) 30.7(939) 30.8(940) 30.9(941) 30.10(942) 30.11(943) 30.12(944) 30.13(945) 30.14(946) 30.15(947) 30.16(948) 30.17(949) 30.18(950) 31(1295) 31.1(951) 31.2(952) 31.3(953) 31.4(954) 31.5(955) 31.6(956) 31.7(957) 31.8(958) 31.9(959) 31.10(960) 31.11(961) 31.12(962) 31.13(963) 31.14(964) 31.15(965) 31.16(966) 31.17(967) 31.18(968) 31.19(969) 31.20(970) 31.21(971) 31.22(972) 31.23(973) 31.24(974) 31.25(975) 31.26(976) 31.27(977) 31.28(978) 32(1296) 32.1(979) 32.2(980) 32.3(981) 32.4(982) 32.5(983) 32.6(984) 32.7(985) 32.8(986) 32.9(987) 32.10(988) 32.11(989) 32.12(990) 32.13(991) 32.14(992) 32.15(993) 32.16(994) 32.17(995) 32.18(996) 32.19(997) 32.20(998) 32.21(999) 32.22(1000) 32.23(1001) 33(1297) 33.1(1002) 33.2(1003) 33.3(1004) 33.4(1005) 33.5(1006) 33.7(1008) 33.8(1009) 33.9(1010) 33.10(1011) 33.11(1012) 33.12(1013) 33.13(1014) 33.14(1015) 33.15(1016) 33.16(1017) 33.17(1018) 33.18(1019) 33.19(1020) 33.20(1021) 33.21(1022) 33.21(1032) 33.22(1023) 33.23(1024) 33.24(1025) 33.25(1026) 33.26(1027) 33.27(1028) 33.28(1029) 33.29(1030) 33.30(1031) 33.32(1033) 33.33(1034) 33.34(1035) 33.35(1036) 33.36(1037) 33.37(1038) 33.38(1039) 33.39(1040) 33.40(1041) 33.41(1042) 33.42(1043) 33.43(1044) 33.44(1045) 33.45(1046) 33.46(1047) 33.47(1048) 33.48(1049) 33.49(1050) 33.50(1051) 33.51(1052) 33.52(1053) 33.53(1054) 34(1298) 34.1(1055) 34.2(1056) 34.3(1057) 34.4(1058) 34.5(1059) 34.6(1060) 34.7(1061) 34.8(1062) 34.9(1063) 34.10(1064) 34.11(1065) 34.12(1066) 34.13(1067) 34.14(1068) 34.15(1069) 34.16(1070) 34.17(1071) 34.18(1072) 34.19(1073) 34.20(1074) 34.21(1075) 34.22(1076) 34.23(1077) 34.24(1078) 34.25(1079) 34.26(1080) 34.27(1081) 34.28(1082) 34.29(1083) 35(1299) 35.1(1084) 35.2(1085) 35.3(1086) 35.4(1087) 35.5(1088) 35.6(1089) 35.7(1090) 35.8(1091) 35.9(1092) 35.10(1093) 35.11(1094) 35.12(1095) 35.13(1096) 35.14(1097) 35.15(1098) 35.16(1099) 35.17(1100) 35.18(1101) 35.19(1102) 35.20(1103) 35.21(1104) 35.22(1105) 35.23(1106) 35.24(1107) 35.25(1108) 35.26(1109) 35.27(1110) 35.28(1111) 35.29(1112) 35.30(1113) 35.31(1114) 35.32(1115) 35.33(1116) 35.34(1117) 35.35(1118) 35.36(1119) 35.37(1120) 35.38(1121) 35.39(1122) 35.40(1123) 35.41(1124) 35.42(1125) 36(1300) 36.1(1126) 36.2(1127) 36.3(1128) 36.4(1129) 36.5(1130) 36.6(1131) 36.7(1132) 36.8(1133) 36.9(1134) 36.10(1135) 36.11(1136) 36.12(1137) 36.13(1138) 36.14(1139) 36.15(1140) 36.16(1141) 36.17(1142) 36.18(1143) 36.19(1144) 37(1301) 37.1(1145) 37.2(1146) 37.3(1147) 37.4(1148) 37.5(1149) 37.6(1150) 37.7(1151) 37.8(1152) 37.9(1153) 37.10(1154) 37.11(1155) 37.12(1156) 37.13(1157) 37.14(1158) 37.15(1159) 37.16(1160) 37.17(1161) 37.18(1162) 37.19(1163) 37.20(1164) 37.21(1165) 37.22(1166) 37.23(1167) 37.24(1168) 37.25(1169) 37.26(1170) 37.27(1171) 37.28(1172) 37.29(1173) 37.30(1174) 37.31(1175) 37.32(1176) 37.33(1177) 37.34(1178) 37.35(1179) 37.36(1180) 37.37(1181) 37.38(1182) 37.39(1183) 37.40(1184) 37.41(1185) 37.42(1186) 37.43(1187) 37.44(1188) 37.45(1189) 37.46(1190) 37.47(1191) 37.48(1192) 37.49(1193) 37.50(1194) 37.51(1195) 37.52(1196) 37.53(1197) 37.54(1198) 37.55(1199) 37.56(1200) 38.9 38(1302) 38.1(1201) 38.2(1202) 38.3(1203) 38.4(1204) 38.5(1205) 38.6(1206) 38.7(1207) 38.8(1208) 38.10(1210) 38.11(1211) 38.12(1212) 38.13(1213) 38.14(1214) 38.15(1215) 38.16(1216) 39(1303) 39.1(1217) 39.2(1218) 39.3(1219) 39.4(1220) 39.5(1221) 39.6(1222) 39.7(1223) 39.8(1224) 39.9(1225) 39.10(1226) 39.11(1227) 39.12(1228) 39.13(1229) 39.14(1230) 39.15(1231) 39.16(1232) 39.17(1233) 39.18(1234) 39.19(1235) 39.20(1236) 39.21(1237) 39.22(1238) 39.23(1239) 39.24(1240) 39.25(1241) 39.26(1242) 39.27(1243) 39.28(1244) 39.29(1245) 39.30(1246) 39.31(1247) 39.32(1248) 39.33(1249) 39.34(1250) 39.35(1251) 39.36(1252) 39.37(1253) 39.38(1254) 39.39(1255) 39.41(1257) 39.42(1258) 39.43(1259) 39.44(1260) 39.45(1261) 39.46(1262) 39.47(1263) 39.48(1264) 40(1304) 41(1305) 42(1306) 43(1307) 44(1308) 45(1309) 46(1310) 47(1311) 48(1312) 49(1313) 50(1314) 51(1315) 52(1316) 53(1317) 54(1318) 55(1319) 56(1320) 57(1321) 58(1322) 59(1323) 60(1324) 61(1325) 62(1326) 63(1327) 64(1328) 65(1329) 66(1330) 67(1331) 68(1332) 69(1333) 70(1334) 71(1335) 72(1336) 73(1337) 74(1338) 75(1339) 76(1340) 77(1341) 78(1342) 79(1343) 80(1344) 81(1345) 82(1346) 83(1347) 84(1348) 85(1349) 86(1350) 87(1351) 88(1352) 89(1353) 90(1354) 91(1355) 92(1356) 93(1357) 94(1358) 95(1359) 96(1360) 97(1361) 98(1362) 99(1363) 100(1364) 101(1365) 102(1366) 104(1367) 104(1368) 105(1369) 106(1370) 107(1371) 108(1372) 109(1373) 110(1374) 111(1375) 112(1376) 113(1377) 114(1378) 115(1379) 116(1380) 117(1381) 118(1382) 119(1383) 120(1384) 121(1385) 122(1386) 123(1387) 124(1388) 125(1389) 126(1390) 127(1391) 128(1392) 129(1393) 130(1394) 131(1395) 132(1396) 133(1397) 134(1398) 135(1399) 136(1400) 137(1401) 138(1402) 139(1403) 140(1404) 141(1405) 142(1406) 143(1407) 144(1408) 145(1409) 146(1410) 147(1411) 148(1412) 149(1413) 150(1414) 151(1415) 152(1416) 153(1417) 154(1418) 155(1419) 156(1420) 157(1421) 158(1422) 159(1423) 160(1424) 161(1425) 162(1426) 163(1427) 164(1428) 165(1429) 166(1430) 167(1431) 168(1432) 169(1433) 170(1434) 171(1435) 172(1436) 173(1437) 174(1438) 175(1439) 176(1440) 177(1441) 178(1442) 179(1443) 180(1444) 181(1445) 182(1446) 183(1447) 184(1448) 185(1449) 186(1450) 187(1451) 188(1452) 228