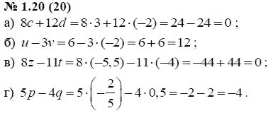
Решения домашних заданий по алгебре 7 класс Мордкович А.Г. 1.20(20) упражнение
|
| Дисциплина: Алгебра |
| Класс: 7 класс |
Автор: Мордкович А.Г.
Год издания: 2010
Упражнение 1.20(20) |
|
Перейти к упражнению
- Вариант 2: p.1 p.2 p.3 p.4 p.5 p.6 p.7 p.8 p.9 p.10 p.11 p.12 p.13 p.14 p.15 p.16 p.17 p.18 p.19 p.20 p.21 p.22 p.23 p.24 p.25 p.26 p.27 p.28 p.29 p.30 p.31 p.32 p.33 p.34 p.35 p.36 p.37 p.38 p.39 p.40 p.41 p.42 p.43 p.44 p.45 p.46 p.47 p.48 p.49 p.50 p.51 p.52 p.53 p.54 p.55 p.56 p.57 p.58 p.59 p.60 p.61 p.62 p.63 p.64 p.65 p.66 p.67 p.68 p.69 p.70 p.71 1 2 3 4 5 6 7 8 9 10
- Домашняя контрольная работа № 8: