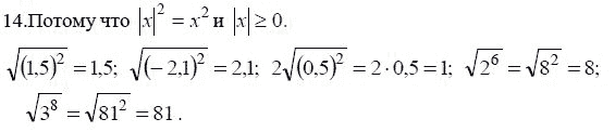
Решения домашних заданий по алгебре 8 класс Макарычев Ю.Н., Жохов В.И., Миндюк Н.Г. 14 упражнение


Дисциплина: Алгебра
Класс: 8 класс
Автор: Макарычев Ю.Н., Жохов В.И., Миндюк Н.Г. Год издания: 2008-2011

Перейти к упражнению

1 2 3 4 5 6 7 8 9 101 2 3 4 5 6 8 9 10 11 12 13 14 15 161 2 3 4 5 61 2 3 4 5 7 8 9 10 11 12 131 2 3 4 5 6 7 8 9 10 11 121 2 3 4 5 6 7 8 9 10 111 2 3 4 5 6 7 8 9 10 11 12 13 14 15 16 17 181 2 3 4 5 6 7 8 9 101 2 3 4 5 6 7 8 9 10 11 121 2 3 4 5 6 7 8 9 10 11 121 2 3 4 5 6 7 8 91 2 3 41 2 3 41 2 3 41 2 3 41 2 3 41 2 3 41 2 3 41 2 3 41 2 3 4 51 2 3 4 51 2 3 4 51 2 3 4 51 2 31 2 31 2 31 2 31 2 3 4 5 61 2 3 4 5 61 2 3 4 5 61 2 3 4 5 61 2 3 41 2 3 41 2 3 41 2 3 41 2 3 4 51 2 3 4 51 2 3 4 51 2 3 4 51 2 3 4 5 61 2 3 4 5 61 2 3 4 5 61 2 3 4 5 61 2 3 41 2 3 41 2 3 41 2 3 41 2 31 2 31 2 31 2 31 21 21 21 21 2 31 2 31 2 31 2 31 2 3 4 51 2 3 4 51 2 3 4 51 2 3 4 51 2 31 2 31 2 31 2 31 2 31 2 31 2 31 2 31 2 3 4 51 2 3 4 51 2 3 4 51 2 3 4 51 2 3 4 5 61 2 3 4 5 61 2 3 4 5 61 2 3 4 5 61 2 3 4 51 2 3 4 51 2 3 4 51 2 3 4 51 2 3 4 51 2 3 4 51 2 3 4 51 2 3 4 51 2 3 4 5 61 2 3 4 5 61 2 3 4 5 61 2 3 4 5 6 7 81 2 3 4 51 2 3 4 5 6 7 81 2 3 4 5 61 2 3 4 51 2 3 4 51 2 3 41 2 3 4 5 61 2 3 4 51 2 3 4 5 61 2 31 2 3 4 5 6 7 8 9 10 111 2 3 4 5 6 71 2 3 41 2 3 4 5 6 7 81 2 3 4 5 6 71 2 3 4 5 61 2 3 4 51 2 3 4 5 61 2 3 4 5 6 7 81 2 3 41 2 3 4 5 6 7 81 2 3 4 5 6 7 8 9 101 2 3 4 5 61 2 3 4 5 61 2 3 4 51 2 3 41 2 3 4 5 61 2 3 41 2 31 2 3 4 5 6 7 8 91 2 3 4 5 6 7 81 2 3 4 5 6 71 2 3 4 5 6 7 8 9 101 2 3 4 5 6 7 8 91 2 3 4 5 6 7 8 9 10 111 2 3 4 5 6 71 2 3 4 5 6 7 81 2 3 4 5 6 7 81 2 3 4 5 6 71 2 3 4 5 6 7 8 9 10 111 2 3 4 51 2 3 4 51 2 3 4 5 61 2 3 4 5 6 71 2 3 4 51 2 31 2 3 41 2 3 4 5 61 2 3 4 5 6 7 8 9 101 2 3 4 51 2 3 4 51 2 3 4 5 61 2 3 4 5 6 7 81 2 3 4 51 2 3 4 5 6 71 2 3 4 5 61 2 3 4 5 6 7 81 2 3 4 51 2 3 4 5 6 7 81 2 3 4 5 61 2 3 4 5 61 2 3 4 51 2 3 41 2 3 4 5 61 2 3 4 51 2 3 4 5 61 2 3 5 61 2 3 4 5 6 7 8 9 10 111 2 3 4 5 6 71 2 3 41 2 3 4 5 6 7 81 2 3 4 5 6 71 2 3 4 5 61 2 3 4 51 2 3 4 5 61 2 3 4 5 6 7 81 2 3 41 2 3 4 5 6 7 81 2 3 4 5 6 7 8 9 101 2 3 4 5 61 2 3 4 5 6 71 2 3 4 51 2 3 41 2 3 4 5 61 2 3 41 2 31 2 3 4 5 6 7 8 91 2 3 4 5 6 7 81 2 3 4 5 6 71 2 3 4 5 6 7 8 9 101 2 3 4 5 6 7 8 91 2 3 4 5 6 7 8 9 10 111 2 3 4 5 6 71 2 3 4 5 6 7 81 2 3 4 5 6 7 81 2 3 4 5 6 71 2 3 4 5 6 7 8 9 10 111 2 3 4 51 2 3 4 51 2 3 4 5 61 2 3 4 5 6 71 2 3 4 51 2 31 2 3 41 2 3 4 5 6 71 2 3 4 5 6 7 8 9 101 2 3 4 51 2 3 4 51 2 3 4 5 61 2 3 4 5 6 7 81 2 3 4 5