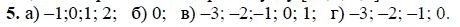
Решения домашних заданий по алгебре 8 класс Макарычев Ю.Н., Жохов В.И., Миндюк Н.Г. 5 упражнение
|
| Дисциплина: Алгебра |
| Класс: 8 класс |
| Автор: Макарычев Ю.Н., Жохов В.И., Миндюк Н.Г. Год издания: 2008-2011 |
|
/* */
ВЫБЕРИТЕ ПРОФЕССИОНАЛЬНУЮ ПОМОЩЬ!
|
| Дисциплина: Алгебра |
| Класс: 8 класс |
| Автор: Макарычев Ю.Н., Жохов В.И., Миндюк Н.Г. Год издания: 2008-2011 |
|