Решения домашних заданий по алгебре 8 класс Макарычев Ю.Н., Жохов В.И., Миндюк Н.Г. 7 упражнение
|
| Дисциплина: Алгебра |
| Класс: 8 класс |
Автор: Макарычев Ю.Н., Жохов В.И., Миндюк Н.Г.
Год издания: 2008-2011
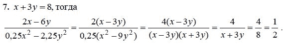
Упражнение 7 |
|
Перейти к упражнению
- Вариант I:
- Вариант II:
- Итоговое повторение по темам (учебник А.Н. Тихонова):
- Итоговое повторение по темам (учебник С.А.Теляковского):
- Контрольные работы:
- Самостоятельные работы: